BP网络过程推演 完整过程及公式
BP(back propagation)网络,学习笔记,有不足或错误的以后继续增改
参考图

X输入数据
V输入层到隐层间的权重
B隐层的输出值
W隐层到输出层的权重
Y输出层的输出值
前向传播:
输出就是这个公式的结果

不多说了。
反向传播:
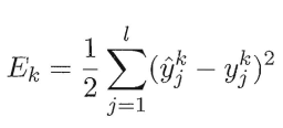
1 均方误差
想要学习反向传播,你得先知道均方误差。

也就是预测和实际的一维向量每个位置对应相减的求平方,在相加的和的二分之一。
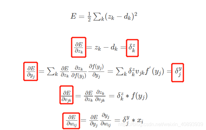
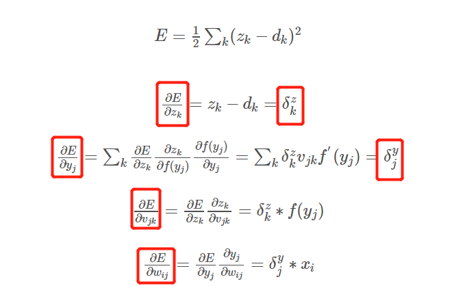
2 梯度
第二个就是梯度的计算,通过上面的方差和求得

xi yj zk dk
输入层 隐层 输出层 真实值
1/2为了去掉求导后的2

从第三个式子可以看出y层的第j个节点(神经元)的残差等于z层与其所连接的所有节点(神经元)的残差与权值的乘值的和再乘以对该节点(y层的第j个节点)的导数。
想象一下,反馈传播的思想,第一个残差是从输出层得出的(上面第二个公式),然后再传给隐层,一层一层的往前影响个层间权值和偏置。
这里还要注意卷积层和卷积核的概念不要混淆,他们不都是层。
3 △权值
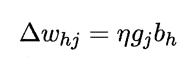
最后的权值和偏置的更新公式。原公式如下,经过带入替换后得出后面的![]()
η就是学习率,这个式子就权值更新公式。负号表示了反向传播。均方误差与当前权值的导数(梯度项),再乘以学习率。
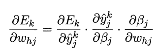
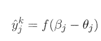
注意到叫Whj先影响到第 j 个输出层神经元的输入值岛,再影响到其输出值βj,然后影响到 Ek ,有

——————————————————————
输出层的输入值比上每对神经元间的权重,也就是bh隐层的输出值
——————————————————————
f是激活函数,对其求导。
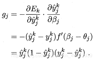
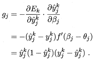
再根据预测值和均方误差公式


求出下面的梯度项

注意到最后一项
即输出层的误差
——————————————————————

最后的ΔW求解公式也就成了这个形式,学习率*梯度项*上一层的输出值。
偏置计算过程类似
总结
所以说整个过程关键在于三个,一个是你得知道均方误差的计算,另一个就是残差的计算方法,最后是权值(偏置)更新公式。
人为可以调节的就是学习率。
学习的最终目的是为了将残差降低。或者说,BP算法的最终目标是要最小化整个训练集D上的累积误差。

BP的求解过程关键词应该有四个:权值更新,梯度项计算,学习率
本文来自互联网用户投稿,文章观点仅代表作者本人,不代表本站立场,不承担相关法律责任。如若转载,请注明出处。 如若内容造成侵权/违法违规/事实不符,请点击【内容举报】进行投诉反馈!
