直线/线段/射线/三角形/矩形/多边形二维几何公式
提示:文章写完后,目录可以自动生成,如何生成可参考右边的帮助文档
直线/线段/射线/三角形/矩形/多边形二维几何公式
- 1、直线方程
- 2、射线方程
- 3、线段方程
- 4、三角形方程
- 5、矩形方程
1、直线方程
隐式形式
参数形式:
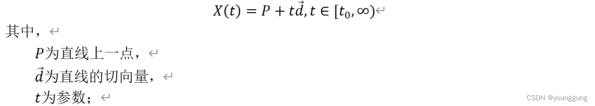
2、射线方程
射线方程
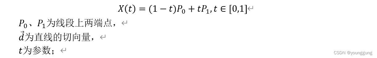
3、线段方程
参数形式:
两点式
4、三角形方程
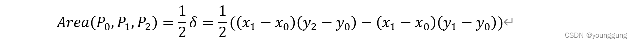
三角形由不共线的三个点 P 0 ( x 0 , y 0 ) , P 1 ( x 1 , y 1 ) , P 2 ( x 2 , y 2 ) P_0(x_0,y_0),P_1(x_1,y_1),P_2(x_2,y_2) P0(x0,y0),P1(x1,y1),P2(x2,y2)所确定。三角形的方向为:
如果 δ > 0 δ>0 δ>0,则三角形是逆时针的, δ < 0 δ<0 δ<0,则是顺时针的。 δ = 0 δ=0 δ=0,则三角形退化为共线的直线。
三角形的面积为:
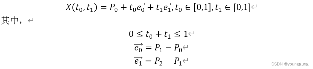
三角形的参数形式为:
三角形的重心形式为:
5、矩形方程
矩形由一个点P和两条相互垂直的边(e_0 ) ⃗和(e_1 ) ⃗所定义。这种形式叫做顶点-边形式。矩形的参数形式为:
如果矩形的边向量式平行于坐标轴,那么矩形是轴对齐的。
本文来自互联网用户投稿,文章观点仅代表作者本人,不代表本站立场,不承担相关法律责任。如若转载,请注明出处。 如若内容造成侵权/违法违规/事实不符,请点击【内容举报】进行投诉反馈!










