一、PFC电路——阐述功率因数的定义、为什么需要补偿以及补偿的方法
1 功率因数和电流畸变
1.1 传统功率因数定义
PFC全称Power Factor Correction,功率因数矫正,即PFC电路是可以提高电源系统功率因数的电路。

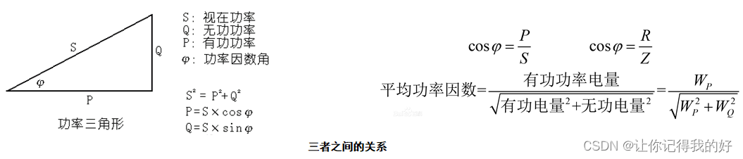
功率因数是指交流电路有功功率对视在功率的比值。用户电器设备在一定电压和功率下,该值越高效益越好,发电设备越能充分利用,常用cosφ表示。最常见的交流异步电动机在额定负载时的功率因数一般为0.7–0.9,如果在轻载时其功率因数就更低。功率三角形及其相互关系式中不难看出,在视在功率不变的情况下,功率因数越低( 角越大),有功功率就越小,同时无功功率却越大。
- 有功功率 —— P:交流电路中,凡是消耗在电阻元件上、功率不可逆转换的那部分功率。反映了交流电源在电阻元件上做功的能力大小,实际上它是交流电在一个周期内瞬时功率的平均值,等于电阻元件两端电压有效值与通过电阻元件中电流有效值的乘积,单位是W或KW。
- 无功功率 —— Q:电感或电容元件与交流电源往复交换的功率称之为无功功率,即为可逆性转换的那部分电功率,它表达了交流电源能量与磁场或电场能量交换的最大速率,即单位是Var或Kvar。
- 视在功率 —— S:交流电源所能提供的总功率,数值上是交流电路中电压与电流的乘积,通常用来表示交流电源设备(如变压器)的容量大小。单位为VA或KVA。

在初高中的电学里,我们学的功率以W(瓦特)为单位,数值等于电压和电流的乘积,即:P=UI。但实际上,P=UI只针对纯阻性负载才成立,而对于带感性或带容性负载,P≠UI。

1.2 谐波和功率因数的定义
在线性负载的理想情况下,电网中的电压和电流都是正弦信号,即:
u = U m s i n ( w 1 t ) i = I m s i n ( w 1 t + φ ) u=U_msin(w_1t)\\ i=I_msin(w_1t+φ) u=Umsin(w1t)i=Imsin(w1t+φ)
其中U_m和I_m分别是电压和电流的幅值, w 1 w_1 w1是电网的角频率,多数国家为50Hz时则 w 1 = 2 π ∗ 50 r a d / s w_1=2π∗50rad/s w1=2π∗50rad/s;美日国家采用60Hz,则 w 1 = 2 π ∗ 60 r a d / s w_1=2π∗60rad/s w1=2π∗60rad/s;φ是电压和电流信号间的相角差。如下图为纯阻性且φ=0时用电器接入电网时的电压、电流波形。

电网中电压波形是有电网的电源——发电机决定的,电网中的电流则是由连接于电网的负载决定的。**某些非线性或者具有时变性的负载会从电网吸取非正弦电流。**如下图为三相感性整流负载的电流波形,显然与正常的正弦波有较大差别。由于电网存在线阻,这样的电流会在线阻上产生非线性的压降,使得用电端电压产生畸变,成为非正弦波。
值得注意的是,虽然电流波形是非正弦的,但让然是与电网电压同频率的周期信号,满足: i ( t ) = i ( t + T 1 ) i(t)=i(t+T_1) i(t)=i(t+T1)其中 T 1 T_1 T1为电网的周期。

1.2.1 推导功率因数公式
将 i ( t ) i(t) i(t)分解成傅里叶级数:

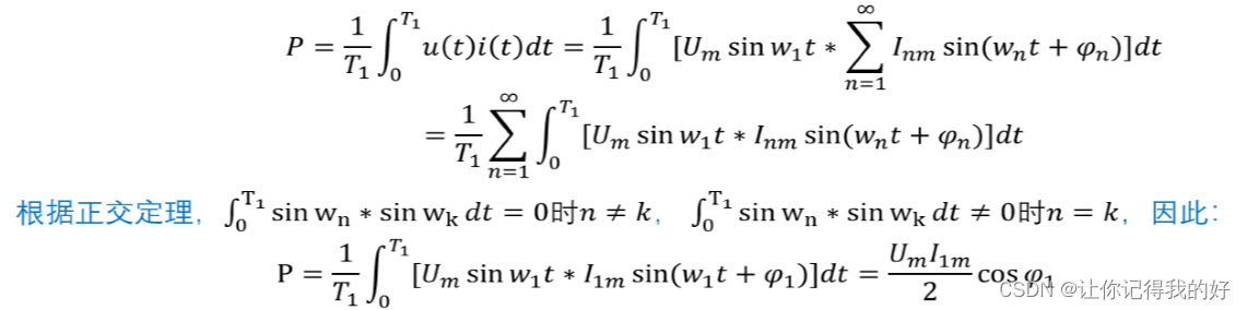
当电网电压和电流存在畸变时,电路功率及功率因素计算与纯正正弦状态相比很复杂。另外,在实际中绝大部分情况下,电网电压的畸变较小,忽略电网电压畸变不会产生过大的误差,而获得较为简洁的计算公式,
当电网电压为正弦而电流非正弦情况下,负载吸收的有功功率——P为:

其中 U R 和 I R U_R和I_R UR和IR分别为电网电压和负载电流的有效值(接于电网的用电器的输入电流)。
那么功率因素便可以得到表达式,根据 λ = P / S λ=P/S λ=P/S有:

由于电网电压是正弦波,因此 U m = 2 U R U_m=\sqrt2U_R Um=2UR,而基波电流的波形也是正弦波,因此 I 1 m = 2 I 1 R I_{1m}=\sqrt2I_{1R} I1m=2I1R,所以上式可以改写成:

其中, ξ = I 1 R I R ξ=\frac{I_{1R}}{I_R} ξ=IRI1R被称为畸变因数,它标志着电流波形偏离正弦的程度,如果电流波形是正弦波,则 I 1 R = I R , ξ = 1 I_{1R}=I_R,ξ=1 I1R=IR,ξ=1;如果电流波形为非正弦,则 I R = ∑ n = 1 ∞ I n R 2 = I 1 R 2 + I 2 R 2 + I 3 R 2 + … + I n R 2 I_R=\sqrt{∑_{n=1}^∞I_{nR}^2}=\sqrt{I_{1R}^2+I_{2R}^2+I_{3R}^2+…+I_{nR}^2} IR=∑n=1∞InR2=I1R2+I2R2+I3R2+…+InR2,故而总是有 I 1 R < I R , ξ < 1 I_{1R}
可以发现,当电流不含有谐波成分时,也就是说当 I 1 R = I R I_{1R}=I_R I1R=IR时,功率因数的定义为 λ = c o s φ 1 λ=cosφ_1 λ=cosφ1,与传统的功率因数定义是相同的,所以可以把 λ = I 1 R I R c o s φ 1 = ξ c o s φ 1 λ=\frac{I_{1R}}{I_R}cosφ_1=ξcosφ_1 λ=IRI1Rcosφ1=ξcosφ1理解为传统功率因数定义在电流存在谐波情况下的推广。
1.2.2 谐波和畸变率的定义
谐波含有率 H R I n HRI_n HRIn(Harmonic Ratio for I n I_n In)衡量某次谐波的大小:

电流谐波总畸变率 T H D i THD_i THDi(Total Harmonic distortion)衡量电流畸变程度:

1.2.3 提高功率因数的原因
电网在输电时,输电线上的功率损耗与流过的电流成平方比关系:
P = I 2 R P=I^2R P=I2R 所以输电线上的电流越小,损耗就越小。当用电设备从电网取电,它消耗的有功功率和无功功率都是来自电网,而无功功率对用电设备来说,是没有做功的,但是在电网上传输就会产生损耗。无功功率越大,发电厂和电力传输网络的无效负担就越多,甚至会影响电力系统的稳定性。故而才会对用电设备进行PF值和THD值的限定要求,开关电源自然不会例外。
总之,谐波的存在使得装置的功率因素不为1,给电网带来电能质量问题,这类负载对电网的“污染”分成谐波电流和基波无功两个部分。针对这个问题,国际电工委员会(IEC)制定的IEC61000-3-2、IEC61000-3-2-12标准和我国标准化委员会制定的GB 17625.1—2003标准,这些均是强制化标准,所有的相关设备都必须满足。
按规定月平均功率因数不得低于 0.9,低于 0.9 则按规定的百分数与用户的总电费相乘来增加电费,功率因数越低,增收的百分数越大,高于 0.9 则按规定百分数减收用户电费,但减收的百分数比增收的百分数相应要小,当功率因数在0.95<1时,减收的百分数一直为 0.75%,而不再提高了。因此用户的月平均功率因数一般控制在 0.9~0.95 左右比较适宜,最好不要大于 0.95,一方面 0.95 以上奖励百分数不变,而补偿电容的增加会使用电增加。
2 开关电源功率因数矫正
采用二极管构成不可控容性整流电路,结构简单、成本低、可靠性高,致命缺点为输入电流不是正弦波,而是位于电压峰值附近的脉冲,如下所示:

产生这一问题的原因:**在于二极管整流电路不具有对输入电流的可控性,当电源电压高于电容电压时,二极管导通;当电源电压低于电容电压时,二极管不导通,输入电流为零,这样就形成了电源电压峰值附近的电流脉冲。对这一现象的解决办法就是对电流脉冲的幅值进行抑制,使电流波形尽量接近正弦波,**这一技术便称之为功率因数矫正即PFC(Power Factor Correction)。
拓展(关于电能质量的指标):
描述:电能质量一般用频率、电压波形和三相电压、电流的不对称度来衡量。
1)频率:电力系统的交流电的频率是电能质量的一个指标。频率的偏差会严重影响电力系统的安全运行和中户的正常用电。为了保证频率合格,电网的有功功率必须与电网的总负荷(包括厂用负荷以及电网损耗)保持常态平衡。我国规定交流电频率的额定值为50Hz(工频)。按国家标准规定,交流电频率的允许变化范围是:
- 电网容量在3000MW以下,其允许偏差为 ± 0.5 H z ( 即: 49.5 H z − 50.5 H z ) \pm 0.5Hz(即:49.5Hz-50.5Hz) ±0.5Hz(即:49.5Hz−50.5Hz)
- 电网容量在3000MW以上,其允许偏差为 ± 0.2 H z ( 即: 49.8 H z − 50.2 H z ) \pm 0.2Hz(即:49.8Hz-50.2Hz) ±0.2Hz(即:49.8Hz−50.2Hz)
2)电压:电压是电能质量的重要指标。电压质量是对电网的稳定运行,降低线路损耗,保证生产的安全与正常进行,提高产品质量,降低损耗都有着直接影响。检验电压质量是否合格,用电压偏移的百分数来表示。用户受电端的电压偏移不得超过以下指标,达不到就是电压质量不合格:
电压:电压是电能质量的重要指标。电压质量是对电网的稳定运行,降低线路损耗,保证生产的安全与正常进行,提高产品质量,降低损耗都有着直接影响。检验电压质量是否合格,用电压偏移的百分数来表示。用户受电端的电压偏移不得超过以下指标,达不到就是电压质量不合格:
- 35KV及以上供电并对电压质量有特殊要求的用户为额定电压的 ± 5 \pm 5 ±5%
- 10KV及一下高压供电和低压电力用户为额定电压的 ± 7 \pm 7 ±7%
- 低压照明用户为额定电压的 + 5 +5% +5%、 − 10 -10 −10%
3)电压波形。理想的电压波形是正弦的,但是由于各种非线性负载接入,是的电压波形发生畸变,出现各次谐波。电力系统中的谐波将影响各种电力设备和通信线路的正常运行,所以对于电力系统谐波是有规定的。
4)电压、电流的不对称度也是衡量电能质量的指标之一,它是用负序和零序分量对于额定值的百分比来表示的。电压、电流的不对称度超出允许范围将会对用户和电力系统产生影响。
2.1 功率因数矫正
2.1.1 分析整流堆后的电容影响
针对具有感性负载的交流用电器电压、电流不同相,从而引起供电效率低下提出改进方法(感性负载电流滞后于电压,相位的不同)使得供电线路的负担增重(无功功率增加),供电线路效率下降,这就要求感性用电器并联一个电容器用以调整该用电器的电压、电流相位特性。
电容并联在感性负载上,利用电容上电流超前电压的特性补偿电感电流滞后电压的特性使得总的特性接近于阻性,从而改善效率低下的方法——功率因数补偿。


就开关电源而言,都是在整流后接一个滤波电容,使得该用电器负载特性呈现容性(相对于电网来说,开关电源也是用电器),这就造成接入电网工作时,由于滤波电容的充放电作用,使得负载直流电压呈现为锯齿波的纹波。
滤波电容上的电压最小值远非零,与其最大值(纹波峰值)相差不是特别大,根据二极管的单向导通性,只有交流线路电压的瞬时值大于滤波电容上的电压时,整流二极管才会正向偏置导通;当交流输入电压瞬时值低于滤波电容上的电压时,整流二极管因反向偏置而截止。
也就是说,在交流线路点在的每半个周期内,只是在其峰值附近,二极管才会导通。虽然交流输入电压仍基本为正弦波波形,但交流输入电流却呈现为高幅值的尖峰脉冲。这样严重失真的电流波形含有大量的谐波成分。

二极管的导通角远小于180°,由于要保证负载功率的要求,在很窄的导通角器件会产生很大的导通电流,使得供电电流呈现脉冲状态,不仅降低了供电的效率,还会导致交流电压产生畸变并产生多次谐波,从而影响电网中其他用电器的正常工作(电磁干扰–EMI、电磁兼容–EMC)。
EMC(Electromagnetic Compatibility)——电磁兼容:系统或设备在所处的电磁环境中能正常工作,同时不会对其他系统和设备造成干扰
- 电子系统或设备在正常运行过程中对所在环境产生的电磁干扰不能超过一定的限值;
- 电子系统或设备对所在环境中存在的电磁干扰具有一定程度的抗扰度,即电磁敏感性。
EMI(Electromagnetic Interference)——电磁干扰:
- 传导干扰:是指通过导电介质把一个电网络上的信号耦合(干扰)到另一个电网络
- 辐射干扰:是指干扰源通过空间把其信号耦合(干扰)到另一个电网络
由于上述这些原因,通常要求用电功率大于85W甚至在75W的容性负载用电器,必须要增加矫正其负载特性的矫正电路,使其负载特性接近于阻性(电压和电流波形相同且波形相近)。
容性负载的危害
如下图为不带滤波器的半波整流电路及其波形:



- T0~T2:t0时刻,电压、电流均为零;t1时刻电压、电流均达到最大值;在t2时刻电压、电流均为零(二极管导通180°);
- T2~T3:二极管反偏,无电压及电流(二极管截止);
- T3~T5:t3时刻,电压、电流均为零;t4时刻电压、电流均达到最大值;在t5时刻电压、电流均为零(二极管导通180°)。
结论:在无滤波电容的整流电路中,供电电路的电压和电流同相,二极管导通角为180°,对于供电线路来说,该电路呈现纯阻性的负载特性。
如下图为使用滤波器的半波整流电路及其波形:



- T0~T1:电流和电压的最大值明显不是同时到达,即已经发生相移;
- T1时刻,二极管反向截止,电流为零,此时输出电压由滤波电容提供直至电压为零。
结论:在有滤波电容的整流电路中,供电电路的电压和电流波形完全不同,电流波形呈脉冲状态,二极管导通角小于180°(由负载R和滤波电容C的时间常数而定)。该电路对于供电线路来说,由于强脉冲电流的极短时间内线路上会产生较大压降(对于内阻较大的供电线路尤为明显),使得供电线路电压波形产生畸变,强脉冲的高次谐波对其他的用电器产生较强干扰。
2.1.2 无源功率因数矫正
在整流桥堆和滤波电容之间加一只电感(选取合适的电感量),利用电感电流不能突变的特性来平滑电容充电强脉冲的波动,改善供电线路电流波形的畸变,并且在电感上电压超前电流的特性也补偿滤波电容电流超前电压的特性,使得功率因素、电磁兼容、电磁干扰得以改善。

改电路虽然简单,可以在前期设计的无PFC功能的设备上,简单的增加一个合适的电感(适当的选取L和C的值),从而达到具有PFC的作用,但是这种简单的、低成本的无源PFC输出的纹波较大,滤波电容两端的直流电压较低,电流畸变的矫正以及功率因数的补偿的能力都比较差,并且电感的绕制或者铁芯的质量没控制好会对电路信号产生严重干扰,通常仅用于前期无PFC设备使之能进入市场的临时措施。
下图为未加电感矫正的整流电路:



下图为加了电感矫正的整流电路:



2.1.3 有源功率因数
有源PFC基本上可以完全的消除电流波形的畸变,电压和电流的相位可以控制保持一致,它可以基本上解决了功率因数、电磁兼容、电磁干扰的问题。基本思路是在220V整流桥堆后去掉滤波电容后由一个“斩波”电路把脉动的直流变成高频的(通常100K左右),交流再经过整流滤波后,其直流电压再向常规的PWM开关稳压电源供电。该过程为AC–>DC–>AC–>DC。

有源PFC的基本原理就是在整流堆和滤波电容中间加一个DC-DC斩波电路(如上图所示),对于供电线路来说整流电路(BD2)的输出没有直接接滤波电容,所以整流电路对于供电线路来说,呈现的为接近纯阻性的负载,它的电压和电流波形相同、相位相同。
PFC开关电源部分:
整流二极管整流后不加滤波器,把未经滤波的脉动正半周期电压作为斩波器的供电电源,由于斩波器的连续“开关”工作脉动的正电压斩成以上波形,其特点是:
- 电流波形是断续的,包络线和电压波形相同,并且包络线和电压波形相位相同;
- 由于斩波的作用,半波脉动的直流电变成高频(由斩波频率决定)“交流”电,该高频“交流”电需要再次整流、滤波才能被后级PWM开关稳压电源使用;
- 从供电系统的角度看,该电源系统做到了交流电压和交流电流同相并且电压波形和电流波形均符合正弦波形。解决了功率因素补偿问题,也解决了电磁兼容(EMC)和电磁干扰(EMI)问题。
2.2 升压型PFC电路
2.2.1 BOOST拓扑电路
BOOST型PFC电路核心自然是BOOST电路,在分析PFC拓扑和控制前再回顾一下BOOST电路的工作原理和控制逻辑。直流变换器电路工作在BOOST模式下时,输出电压 V o u t V_{out} Vout大于输入电压 V i n V_{in} Vin,其拓扑结构如下图所示:

1)模态一
当MOS管开通时,其等效电路如下图所示,输入直流电压 V i n V_{in} Vin通过Q直接加在电感L两端,电感两端的电压等于输入电压 V i n V_{in} Vin,电感电流呈线性增加趋势,电流方向如图所示。由于Q导通,二极管VD的正极被MOS管钳住电位为地,二极管VD反向截止,输出负载R由电容C供电。输入电压和电感电流满足: V i n = L d i L d t V_{in}=L\frac{di_L}{dt} Vin=LdtdiL

2)模态二
当MOS管关断时,由于状态1时电感储能,但电感具有电流不能突变的特性,续流二极管VD导通。忽略二极管VD的导通压降,则电感L两端的电压为 V L ( t ) V_L(t) VL(t),电感电流呈线性减小趋势,而输出电压为: V o u t = V i n + V L ( t ) > V i n V_{out}=V_{in}+V_L(t)>V_{in} Vout=Vin+VL(t)>Vin。电流方向如下图所示。输入电压与输出电压之间满足: V i n − V o u t = L d i L d t V_{in}-V_{out}=L\frac{di_L}{dt} Vin−Vout=LdtdiL

BOOST电路开关管驱动与电感电流如下图:

在一个开关周期内,Q导通时间为 t o n t_{on} ton,关断时间为 t o f f t_{off} toff,PWM的开关周期时间为T,定义占空比为D,则:
t o n + t o f f = T D = t o n T t o f f = ( 1 − D ) t_{on}+t_{off}=T \\D=\frac{t_{on}}{T} \\t_{off}=(1-D) ton+toff=TD=Ttontoff=(1−D)
根据电感能量在一个开关周期内平衡定理(安秒平衡):
D V i n + ( 1 − D ) ( V i n − V o u t ) = 0 DV_{in}+(1-D)(V_{in}-V_{out})=0 DVin+(1−D)(Vin−Vout)=0
则可计算工作于BOOST模式下输入电压、输出电压和占空比的关系:
D = 1 − V i n V o u t D=1-\frac{V_{in}}{V_{out}} D=1−VoutVin
2.2.2 BOOST双环控制
BOOST环路控制采用电压外环,电流内环的控制架构(其中电压外环为慢速环,电流内环为快速环,两者在控制带宽上成数量级的倍数差别)。

环路控制逻辑
将输出电压 V o u t V_{out} Vout转换后,与参考电压 V r e f V_{ref} Vref共同送入电压环路计算,电压环的控制逻辑为:
- 当检测到输出电压 V o u t V_{out} Vout小于 V r e f V_{ref} Vref时,经过电压外环计算后,电压环的输出量增加;
- 反之,当检测到输出电压 V o u t V_{out} Vout大于 V r e f V_{ref} Vref时,经过电压外环计算后电压环的输出量减小。
电压外环的输出与电感电流转换共同送入电流内环,其整体控制逻辑为:
- 当检测到输出电压 V o u t V_{out} Vout小于 V r e f V_{ref} Vref时,经过电压外环计算后电压环输出量增加,即参考电流 I r e f I_{ref} Iref增加,经过电流内环的计算,电流环输出控制量增加,占空比增加,使得电感电流增加,输出电压增加;
- 反之,当检测到输出电压 V o u t V_{out} Vout大于 V r e f V_{ref} Vref时,经过电压外环计算后电压环输出量降低,即参考电流 I r e f I_{ref} Iref降低,经过电流内环的计算,电流环输出控制量降低,占空比减小,使得电感电流降低,输出电压降低。
2.2.3 BOOST_PFC工作原理与环路控制逻辑

根据电路图观察,我们容易发现,它和BOOST电路十分相似,它的工作原理也比较相似,下面便阐述一下它的工作原理:
输出电压VBUS和参考电压 V r e f V_{ref} Vref相比较后经电压环计算,得到电压环的输出量,送到乘法器中与BOOST输入电压(采样电压)相乘得到馒头状的电流参考值 i r e f i_{ref} iref;参考电流 i r e f i_{ref} iref与检测电流相比较后经电流环后得到开关管的占空比信号D,经驱动电路后控制开关管的通断,从而使得输入电流(电感电流 i L i_L iL)的波形与整流后的电压波形达到基本一致。
环路控制逻辑
当输出电压 V B U S V_{BUS} VBUS小于参考电压 V r e f V_{ref} Vref时,电压环输出增加,经乘法器后参考电流 i r e f i_{ref} iref增加,在电流环的作用下增加开关占空比,使得输出电压往上调节。
本文来自互联网用户投稿,文章观点仅代表作者本人,不代表本站立场,不承担相关法律责任。如若转载,请注明出处。 如若内容造成侵权/违法违规/事实不符,请点击【内容举报】进行投诉反馈!
