《python深度学习》笔记(十二):动量
1 工作原理
Momentum(动量,冲量):结合当前梯度与上一次更新信息,用于当前更新。
动量梯度下降法是计算梯度的指数加权平均数,并利用该数值来更新参数值。

指数加权平均:

与原始的梯度下降相比,动量的梯度下降趋势更加平滑,不但能使用较大的学习率,其迭代次数也减少。
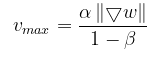
在随机梯度的学习算法中,每一步的步幅都是固定的,而在动量学习算法中,每一步走多远不仅依赖于本次的梯度的大小还取决于过去的速度。速度v是累积各轮训练参的梯度,其中越大,依赖以前的梯度越大。假如每轮训练的梯度方向都是相同的,和小球从斜坡滚落,由于但衰减因子
的存在,小球并不会一直加速,而是达到最大速度后开始匀速行驶,这里假设每轮获得的梯度都是相同的,那么速度最大值为:

从上式可以看到当= 0.9时,最大速度相当于梯度下降的10倍(带进上式去算可得),通常
可取0.5,0.9,0.99,情况一般
的调整没有
调整的那么重要适当。取值即可。
不使用动量:
使用动量:
其中表示权重,
表示学习率,
表示
的导数,
表示速度,一般初始化为0;
就是引入的动量,一般是设置为0.9。可以理解为,如果上一次的
与当前的
负梯度方向是相同的,那这次下降的幅度就会加大,从而可以加快模型收敛。
def sgd_momentum(parameters, vs, lr, gamma):for param, v in zip(parameters, vs):v[:] = gamma * v + lr * param.grad.dataparam.data = param.data - v
2 作用
主要是在训练网络时,最开始会对网络进行权值初始化,但是这个初始化不可能是最合适的;因此可能就会出现损失函数在训练的过程中出现局部最小值的情况,而没有达到全局最优的状态。
momentum的出现可以在一定程度上解决这个问题。动量来源于物理学,当momentum越大时,转换为势能的能量就越大,就越有可能摆脱局部凹区域,从而进入全局凹区域。momentum主要是用于权值优化。
3 代码实现
使用公式手动实现动量:
import numpy as np
import torch
from torchvision.datasets import MNIST # 导入 pytorch 内置的 mnist 数据
from torch.utils.data import DataLoader
from torch import nn
from torch.autograd import Variable
import time
import matplotlib.pyplot as plt
# %matplotlib inlinedef data_tf(x):x = np.array(x, dtype='float32') / 255x = (x - 0.5) / 0.5 # 标准化,这个技巧之后会讲到x = x.reshape((-1,)) # 拉平x = torch.from_numpy(x)return xtrain_set = MNIST('./data', train=True, transform=data_tf, download=True) # 载入数据集,申明定义的数据变换
test_set = MNIST('./data', train=False, transform=data_tf, download=True)# 定义 loss 函数
criterion = nn.CrossEntropyLoss()# 现在手动实现一下动量法
def sgd_momentum(parameters, vs, lr, gamma):for param, v in zip(parameters, vs):v[:] = gamma * v + lr * param.grad.dataparam.data = param.data - vtrain_data = DataLoader(train_set, batch_size=64, shuffle=True)
# 使用 Sequential 定义 3 层神经网络
net = nn.Sequential(nn.Linear(784, 200),nn.ReLU(),nn.Linear(200, 10),
)# 将速度初始化为和参数形状相同的零张量
vs = []
for param in net.parameters():vs.append(torch.zeros_like(param.data))# 开始训练
losses = []
idx = 0
start = time.time() # 记时开始
for e in range(5):train_loss = 0for im, label in train_data:im = Variable(im)label = Variable(label)# 前向传播out = net(im)loss = criterion(out, label)# 反向传播net.zero_grad()loss.backward()sgd_momentum(net.parameters(), vs, 1e-2, 0.9) # 使用的动量参数为 0.9,学习率 0.01train_loss += loss.data# 记录误差if idx % 30 == 0: # 30 步记录一次losses.append(loss.data)idx += 1print('epoch: {}, Train Loss: {:.6f}'.format(e, train_loss / len(train_data)))
end = time.time() # 计时结束
print('使用时间: {:.5f} s'.format(end - start))


pytorch 内置了动量法的实现,直接用 torch.optim.SGD(momentum=0.9) 实现:
import numpy as np
import torch
from torchvision.datasets import MNIST # 导入 pytorch 内置的 mnist 数据
from torch.utils.data import DataLoader
from torch import nn
from torch.autograd import Variable
import time
import matplotlib.pyplot as plt
# %matplotlib inlinedef data_tf(x):x = np.array(x, dtype='float32') / 255x = (x - 0.5) / 0.5 # 标准化,这个技巧之后会讲到x = x.reshape((-1,)) # 拉平x = torch.from_numpy(x)return xtrain_set = MNIST('./data', train=True, transform=data_tf, download=True) # 载入数据集,申明定义的数据变换
test_set = MNIST('./data', train=False, transform=data_tf, download=True)# 定义 loss 函数
criterion = nn.CrossEntropyLoss()train_data = DataLoader(train_set, batch_size=64, shuffle=True)
# 使用 Sequential 定义 3 层神经网络
net = nn.Sequential(nn.Linear(784, 200),nn.ReLU(),nn.Linear(200, 10),
)
optimizer = torch.optim.SGD(net.parameters(), lr=1e-2, momentum=0.9) # 加动量# 开始训练
losses = []
idx = 0
start = time.time() # 记时开始
for e in range(5):train_loss = 0for im, label in train_data:im = Variable(im)label = Variable(label)# 前向传播out = net(im)loss = criterion(out, label)# 反向传播optimizer.zero_grad()loss.backward()optimizer.step()train_loss += loss.data# 记录误差if idx % 30 == 0: # 30 步记录一次losses.append(loss.data)idx += 1print('epoch: {}, Train Loss: {:.6f}'.format(e, train_loss / len(train_data)))
end = time.time() # 计时结束
print('使用时间: {:.5f} s'.format(end - start))x_axis = np.linspace(0, 5, len(losses), endpoint=True)
plt.semilogy(x_axis, losses, label='momentum: 0.9')
plt.legend(loc='best')
plt.show()


对比动量和不加动量的SGD:
net = nn.Sequential(nn.Linear(784, 200),nn.ReLU(),nn.Linear(200, 10),
)
optimizer = torch.optim.SGD(net.parameters(), lr=1e-2) # 加动量
losses1 = []
idx = 0
start = time.time() # 记时开始
for e in range(5):train_loss = 0for im, label in train_data:im = Variable(im)label = Variable(label)# 前向传播out = net(im)loss = criterion(out, label)# 反向传播optimizer.zero_grad()loss.backward()optimizer.step()train_loss += loss.data# 记录误差if idx % 30 == 0: # 30 步记录一次losses1.append(loss.data)idx += 1print('epoch: {}, Train Loss: {:.6f}'.format(e, train_loss / len(train_data)))
end = time.time() # 计时结束
print('使用时间: {:.5f} s'.format(end - start))x_axis = np.linspace(0, 5, len(losses), endpoint=True)
plt.semilogy(x_axis, losses, label='momentum: 0.9')
plt.semilogy(x_axis, losses1, label='no momentum')
plt.legend(loc='best')
plt.show()


本文来自互联网用户投稿,文章观点仅代表作者本人,不代表本站立场,不承担相关法律责任。如若转载,请注明出处。 如若内容造成侵权/违法违规/事实不符,请点击【内容举报】进行投诉反馈!

