对于超图(hypergraph)的一些理解及部分概念
我们知道普通的graph中,一条边只能连接两个点,而边实际上是用来表示两点间有邻接关系的一种符号。而超图(hyper graph)中的边可能会关联(或者说包含)两个以上的点,即在同一边中的点均邻接。
如下图(图片来自网络,下图中e指边,v指点):

hypergraph is a generalization of a graph in which an edge can join any number of vertices
在数学上,超图泛指边可以关联任意数量点的图。确切地说,超图是一种点-边对(pair),表示为H=(X,E),其中X是点的集合,E是边(下称超边)的集合。超图中的边不像普通graph的边一样有实体,而只是它所包含的点的集合。所以E实际上是X的非空子集。另外,一个点也可能在多条超边中。
超图是一种高维的对于数据的图形展示,弥补了普通graph方式信息丢失的缺陷,专用于描述具有成对的组合关系(点与超边)的体系。
如果点v在超边e中,则称超边e与点v关联(hyper edge e is incident with node v)。
如果 v∈ e ,w∈ e,则称v与w邻接( neighborhood relationships)。
以下定义暂不考虑权重:

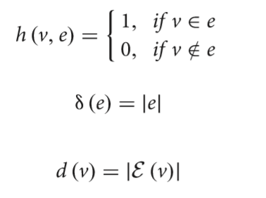
上图中,第一行是对关联矩阵 H ∈R |V|×|E|的定义,类比普通graph中的关联矩阵,还是比较容易理解的。
类似于普通graph中对于点的度的定义,我们可以得到超图中超边与点的度的定义:
第二行是关于超边e的度 δ(e),|e|即e中的点个数。如果δ(e)=r(r>0)对于所有的超边都成立,则称该超图为r-uniform超图(额,不会翻译)。这样一来,普通的graph实际上就是2-uniform的超图。
第三行是关于点v的度d(v),其中E(v)指与v关联的边的个数。
于是我们得到了对角边度矩阵(the diagonal hyperedge degree matrix),De ∈R|E|×|E|;
以及对角点度矩阵(the diagonal vertex degree matrix ) ,Dv ∈R|V|×|V| 。
本文参考了https://www.sciencedirect.com/topics/mathematics/hypergraph等网站中的内容。
本文来自互联网用户投稿,文章观点仅代表作者本人,不代表本站立场,不承担相关法律责任。如若转载,请注明出处。 如若内容造成侵权/违法违规/事实不符,请点击【内容举报】进行投诉反馈!
